有機化学1000本ノック【良著紹介】
こんにちは。
仕事で学生さんと共同研究することになり、社会人としての模範を見せてやろうと、大学の復習をしています。
有機合成の矢印の書き方くらい思い出しとこう、ということで調べてたら以下の本を見つけました。
内容はというと、ひたすら矢印を書き続けるだけです。

ひたすら書くので、電子の動きを体で覚えます。
ちょっと集中してやれば1週間で終わるボリュームですが、一冊やり終わることには
反応式を見ると矢印が浮かんで見えてきます。
博士号取るくらいの専門家になるとまた別かもしれませんが、修士レベルならたくさんの化学反応を頭に入れて、経験則で電子の動きを理解するくらいで十分実務に耐えます。
久しぶりに基本に立ち返るのも楽しいですね。
他にも1000本ノックシリーズあります。個人的に命名法は論文書くときにしか役に立たないイメージなので興味ありません。
↓ブログランキング始めました。バナーをクリックしてもらうと順位上がるらしいです。よかったら応援お願いします!

化学ランキング
![]()
にほんブログ村
大企業で好きなことをやる方法~部署のミッション以外のことがしたくなったらどうする?~
こんにちは。
先日下のような記事を書きました。
部署のミッションの範囲で好きことやるための手順書です。
tamagoyaki1999.hatenablog.com
今回は、部署のミッション外のことがやりたくなっちゃったときどうしよう?という話です。
これはちょっと難易度が高く、今後のサラリーマン人生を不利にしかねない。それなりにリスクがあります。
が、もしうまく進んだとき部署内で成果を積み上げるよりも早く会社での存在感を発揮できるようにもなりますし、全部自分で考えて実行することなので転職活動なんかで面白エピソードとして使えます。
私が開発系なのでその観点で書きます。事務系には事務系のやり方があると思います。
やりたいことを明確にする(ゴールの設定)
以下の手順でやりたいことを明確にします。
テーマを決める
→目標(この活動で出す成果)を決める
→実作業を考える
→必要なリソースを考える
テーマを決める
例によって、ここが出発点です。
これがないと以降のモチベーションなんて上がりませんし、上司含む外野からの助言(妨害)で心折れます。
難しく考えることはなくて、これやったらなんとなく面白そう!というネタで私は十分と思ってます。
目標(この活動で出す成果)を決める
ただ大企業内で企業のリソースを使ってやる以上、人事評価と同僚からの評価は大事です。
勝手にやることでも最終的には会社が認める成果にしないといけません。
なので、テーマをなんとなく決めたら次は成果を出すプランを立てましょう。
私は開発系の仕事しか知らないので、開発職の成果について書きますが、例えば以下が成果として認められる可能性があります。
- お試し実験データ
- 特許出願
- プロトタイプ作成
- ユーザーワーク結果
【余談】成果にならない仕事
逆に、なんの成果にもならない代表例が以下です。
- 計画書
- プレゼン資料
これ結構はまりやすい落とし穴なんですが、計画書なんて真面目に作っちゃいけないんです。
提案をしてNG出されるときって大体が、
といったいろんな質問をされ、それらがそろってないなら承認するわけにはいかないな~、みたいな言い方をされます。
で、このやり取りを真面目に受け止めると、聞かれたことを調べて計画書を練り直すのですが、実はそんなこと求められていません。
NGを出す上司の心理は基本的に下のような感じです。
- うわ、この提案興味湧かない
- どうにかして自分の主観でNG出してないことにしなければ
上述した質問というのは、提案段階では絶対にどこかの要素が不確実です。なので上記質問をしておけば100%ロジカルにNGということができます。
逆に上司がOKしたくなる提案というのは、
- 上司の趣味に合致している
- 確実に成果が得られそう
のどちらかです。
PDCAのDが1mmでも進んでいることが重要です。少なくとも1mmのDの結果がポジティブであれば上にポジティブな報告ができます。
少しでも実行と結果を成果にできる目標を設定しましょう。
気持ちを強く持つ
これから考えることはまだプラン段階なので、「できない」という言葉を禁止する。
できるかどうかはプランと行動次第。プラン時点での「できない」は百害あって一利なし。
手持ちの武器を整理する(現状分析)
目標達成に必要なものをリストアップします。
例えば開発業務で特許出願をゴールにした場合、
- 時間
- 人(プロジェクトマネジャー、技術者、実行担当者、アドバイザー)
- 作業室(部屋、倉庫、水道、電気、その他用役)
- 消耗材
- 装置
- 資金(消耗材費、設備費、外注費、出願費用等)
これらの中で何が調達可能で何が調達できていないか整理します。
例えば、以下。
- 時間:本務が定時で終わる量なので、残業時間が利用可能。残業の許可は得ていない。
- 人:プロマネ→自分。技術者→自分。実行担当者→自分だけだと時間が足りない。誰か見つけたい。アドバイザー→○○について自分に知見がない。専門家を味方につけたい。
- 作業室:○○室に空いているスペースがある。利用許可得ていない。水道、電気、その他用役は既設。
- 消耗材:一部は本務で使用するものを流用できる。一部は自腹で購入可能な額。一部は会社経費で買いたい。
- 装置:一部は自分の部署にある。勝手に使用して問題ない。○○部が保有しているらしい。
- 資金:1万円くらいなら自腹で購入。5万円超える買い物は会社のお金でやりたい。自身に決裁権限はない。
リソースの確保に動く
足りないリソースは明確になったのでそれらを調達しに行きます。
方法は、「とにかくいろんな人にやりたいことを話す」です。
1万人を超えるような大きな企業だったら、どこかに自分のアイデアに共感して協力してくれる人がいます。
そしてそういう人は穴のない計画書なんてなくても協力を約束してくれます。
そういう人に出会うまで話しまくりましょう。
コンタクト方法は、
- すでに知り合い
- 知り合いに紹介してもらう
- 上司等に紹介してもらう
- 人事に聞く
- 懇親会等で探す
- 勝手にメール送る・電話かける
時間
自分の業務時間は直属上司の管轄。裁量労働制なら何も気にすることはない。
上司に残業の申請
→(NGだったら)自己研鑽とういことで会社のリソース使わせて。残業代は不要です。
→(NGだったら)上司の上司、人事、他部署の管理職などに相談
→(NGだったら)社内における信用ポイントが低すぎ。発信力を身に着けるところからやりなおし。
tamagoyaki1999.hatenablog.com
人
人の調達は、以下がポイント。
- 自発的に参加する
- テーマに共感してくれる人
- 仲良し
- 成果が上がりそうなことに積極的な人
- 暇な人
- 上司命令で参加する
- 自発的に参加してくれる人の部下が協力してくれる場合もあります
実行担当者:アイデアを社内の人に話して、一緒にやってくれる人が現れることを期待。一緒にやってくれる人が社内で評価されるための根回しもしてあげる。
アドバイザー:アドバイスくれるだけの人なら結構簡単に見つかる。飲みに行ってヨイショするくらいで気持ちよく協力してくれる。
作業室
- 本務で自分に割り当てられている場所でやりくりする
- 社内で空いているスペースを探す
- 大きな会社だとR&D系の部署には建物含め遊休資産が大量に眠っている
設備
これまで構築した人脈を使って社内をくまなく探す。
大きな会社ならほとんどの装置はどっかにある。
メンテナンスが必要なら自分でやる。
簿価が低ければ上司に相談して移管してもいい。
消耗材、資金
上司から調達するのが基本。ただそれ以外の財布があってもいい。
社内に財布を複数持っていることはサラリーマンの重要能力。
調達先ですが、おそらく以下が候補として考えられます。()内は私のいた会社のイメージです。
- 直属上司(10~50万円くらい案件。)
- 部長(100万円超えてくる案件。直属上司が話を聞いてくれないとき。)
- 別の部署の管理職(部長以上でないと他部署にお金落とせないかな?)
- 所長(500万円超えてくるような案件。上司、部長が話を聞いてくれないとき。)
- 役員
- (もしあるなら)自己研鑽制度やテーマ提案制度等、社内の公募資金
- 社外の助成金(社外を巻き込む活動を勝手にやるのはリスキーですね。それなりの覚悟が必要。)
活動資金って上司からしかもらえないと思ってません?
予算なんてどこの部署から引っ張ってきてもいいんですよ。これ知らない若手多い気がする。
たぶん管理職の方って自分の労務費持ってくれる上司を自分で探してるんですよね?いつかみんな通る道です。
計画を立てる
計画を立てます。下のレベル感でOKです。

アングラ活動なんてマイペースにやればいいことですが、締め切り設けたほうがやる気はでます。
あと支援者への報告書みたいなものです。
実行
リソースが確保できたらあとはやるだけです。
やり始めたら本務の時間も侵食してくるはずです。
上手に時間分配しましょう。
支援者への報告と部外者へのPR
- 面白い結果が出たら逐一支援者へ報告
- 社内でプレゼンする機会を探してプレゼン。たいてい○○懇親会とか勉強会とかありますよね。
- 社外にPRする場合は、上司、知財、広報、人事あたりと相談して、内規に反しないよう注意。
実績化
アングラ活動はいつまでもアングラではいられません。
また、活動しやすさは自身の評定の高さに比例します。なので、アングラ活動も可能な限り人事考課の対象になるよう実績化します。
実績化は大きく以下2つの方法があります。
数字化
成果を人事考課につながりやすい定量指標に変えます。
技術者だと特許出願件数、共同研究件数、開発した製品グレード数、開拓したユーザー数、アングラ活動による売り上げ増加量、などがわかりやすいです。
この定量指標は、色のつかない数値、本務の実績と混同される数値が好ましいです。
出願数10件の人と、1件の人、どちらが優秀そうに見えるかといえば、普通は中身を確認することなく10件の人を優秀と判断するでしょう。
一方で、「世界No1のチャンピオンデータを出しました」だと、そんな仕事やらせてないよ、などの疑義が生じます。
アサイン化
基礎研究に近いほど、期首の計画通りに進まないことを誰もが理解しています。
なので、人事考課のための目標をとりあえず期首に立てますが、期末には出た成果をベースに目標を書き換えるということが往々にしてあります。
このタイミングでアングラ活動のデータを出します。
これが期首に上司と握った目標・成果よりも面白いものであれば事後的にでも人事考課の対象に入れ込むことはできるでしょう。少なくとも、来期の正式なテーマにしてもらえるよう交渉はできます。
こんな感じの活動をすれば部署のミッション外の活動もできたりします。
好きなことをやるためには、めんどくさい根回しや、本務がおろそかになって評定を下げるリスク、事故を起こして周りに迷惑をかけ自身の出世を阻害するリスク、周りからの白い目、自身の活動を正当化するロジックなど、正直あえて抱えなくてもいい面倒をたくさん抱えないといけません。
まぁ、そうはいっても大企業の組合員なら労組が守ってくれますし、
どんなに評価低くなっても大卒なら40歳くらいには700~900万円くらい給料もらえますし、
東芝(不適切会計)や東電(大災害)が生き残るくらいなので会社がつぶれることも稀ですし、
生活が破綻することはありません。
大企業社員というだけでマリオで言ったらスター状態なので、落とし穴だけ気を付けましょうという感じです。
忘れがちなことですが、大企業は、「やりたい!」と声を上げたら何も言わずに支援してくれるようなハッピーな空間ではありません。
でもリソースはすべてそろっていて、物理的にはなんでもできる空間です。
大企業が大企業でいるうちに、たくさんの大企業サラリーマンがチャレンジして世の中をよくしてくれることを願うばかりです。
tamagoyaki1999.hatenablog.com
tamagoyaki1999.hatenablog.com
tamagoyaki1999.hatenablog.com
tamagoyaki1999.hatenablog.com
tamagoyaki1999.hatenablog.com
tamagoyaki1999.hatenablog.com
挑戦する組織の理論【大企業サラリーマンの標準装備】
こんにちは。
某社では頻繁に新規○○部とか、イノベーション部とか、チャレンジングな名前を冠した組織ができます。
でもたとえこういう組織を作っても、チャレンジングなアウトプットが出てくることはとても少ないイメージがあります。
なぜなのか??
シミュレーションしてみることにしました。
- 前提
- 各ポジションの仕事
- パラメーターの説明
- 全社の挑戦量の計算
- 社員1人1人の挑戦が全社として大きな動きになる!
- 挑戦したいなら社長直轄組織しかない!
- 全社戦略は挑戦の上限を決める
- 社員は定常業務、挑戦の配分をどう決めるのか?
- 参考書
前提
- 全社戦略は「既存事業」(確実に成果が出る)と「新規事業」(失敗するかもしれない挑戦)へのリソース配分問題に簡略化
- 全社戦略が役員ー所長ー部長ー課長ー平社員のラインでブレークダウンされてくる
- 大企業サラリーマンの自身の業務設計は、成果が上がることが確定している「定常業務」と、失敗するかもしれない取り組みである「挑戦」へのリソース配分問題に簡略化
- 課長以上は目標設定をし、アウトプットは現場の平社員が出す
- 成果主義(成功は高得点、失敗は0点)
- 定常業務を100%こなした場合100点となるとする
- 挑戦は失敗する可能性もあるが成功したときの加点が大きい(挑戦の成功により100点以上の点数を取ることも可能)
- 社員は80点以上の仕事をしたいと考えている
各ポジションの仕事
- 社長は全社戦略を構築する。全社戦略は既存事業と新規事業のリソース配分を決めることである。
- 役員は既存事業か新規事業か担当が与えられ、各所長の目標設定をし、所長への指示する。
- 所長は役員の指示に従い、目標をブレークダウンし、各部長の目標設定をし、部長へ指示する。
- 部長は所長の指示に従い、目標をブレークダウンし、各課長の目標設定をし、課長へ指示する。
- 課長は部長の指示に従い、目標をブレークダウンし、各平社員の目標設定をし、平社員へ指示する。
- 平社員は課長の目標設定に従い作業を行い、成果を出す。
パラメーターの説明
既存事業:CS
新規事業:NS
定常業務:RW
挑戦:NW
全社の挑戦量の計算
全社でどのくらい失敗するかもしれない作業が発生するかを計算する。
社長は新規事業にNSだけリソースを投入します。
役員はNSのうち、NW分を挑戦として下に指示します。
所長はNS×NWのうち、NW分を挑戦として下に指示します。
部長はNS×NW×NWのうち、NW分を挑戦として下に指示します。
課長はNS×NW×NW×NWのうち、NW分を挑戦として下に指示します。
平社員はNS×NW×NW×NW×NWのうち、NW分の挑戦を実施します。
したがって、全社における挑戦量は以下のように計算されます。

変数に適当な数字を入れてみます。

社長が全社戦略として新規事業に10%のリソースを投入する意思決定をしたとしても、
投入される人材が手堅く成果が得られる行動を取ると、
全社として0.003%しか挑戦がなされないという計算になります。
表の一番上の条件で、全社戦略のパラメーターをいじってみると以下のようなプロットになります。

90%新規事業やるぞ!といっても現場にはさほど反映されてません。
では、他のパラメーターをいじってみましょう。
社員の業務配分を変えた場合、

会社の組織階層数を変えた場合、

ということで、社長が号令かけるより、社員の意識改革や組織改革したほうが会社としての挑戦は増えるということがわかりました。
社員1人1人の挑戦が全社として大きな動きになる!
社員1人1人が挑戦の量を増やすと、全社的に指数関数的に挑戦量が増えます。
1人1人のちょっとした意識改革が、会社全体でものすごい大きな効果を生みます。
千里の道も一歩から。
数万人の大企業で挑戦の文化を根付かせるためには、1人1人が小さい挑戦をしていくことがとても大事ということですね。
挑戦したいなら社長直轄組織しかない!
大企業というのは組織階層が深いことも1つの特徴です。
組織階層が深いと現場における挑戦量はものすごく小さい値になります。
会社的には本当に挑戦的なことをやろうと思ったら、社長直轄組織にするしかないのでしょう。
逆に、イノベーションとかなんとかかっこいい名前がついていても、階層の深い組織だと挑戦はできないと考えていいかもしれません。
全社戦略は挑戦の上限を決める
今回の計算では、大企業の全社戦略が現場に与えられる影響というのは実はとても小さいという結果になりました。
一生懸命立派なスローガンを掲げても現場は動かない。
ただし、
全社戦略で設定したリソース分しか挑戦には投入され得ない
ことだけは確かです。
どんなにやんちゃに人を集めても、全社戦略で設定したリソース以上に使い込まれることはないですね。
全社戦略というのは実は安全装置の役割だったと考えていいかもしれません。
従業員は中計とか全社戦略に過剰に期待しちゃいけませんね。
社員は定常業務、挑戦の配分をどう決めるのか?
役員含含め従業員は、会社から低くない評価を得ることに強いモチベーションがあります。
高い評価は得たいですが、低くないことのほうが重視されます。(プロスペクト理論)
なので、計画段階から一定の成果が上がることを盛り込むのが普通のサラリーマンかと思います。
業務の100%全部、博打みたいな目標設定する人は絶対にいないですよね。
このあたり、そのうち考察したいなと思います。
アイデアを出すための便利ツール【クリエイティブに役立つ思考方法】
こんにちは。
今回はブレストの亜流のご紹介です。
tamagoyaki1999.hatenablog.com
tamagoyaki1999.hatenablog.com
前述の通り、ブレストはアイデアを出し合う会議ですが、
じゃ、肝心のアイデアってどこから生まれるんでしょうか?
基本は、「神が降りてくるのを待つ」のがアイデア出しです。
ですが、それじゃアウトプットが安定しない。
もっと効率的に確実にアイデアを生み出す方法はないか?
世界中の人がこれを思い、様々な発想法を作り出しました。
まぁ、発想法と呼ばれるものは思考範囲を限定する、あるいは、典型的なパターンを用意してアイデアが半分完成したところから考えるものが多いですね。
その一部をご紹介したいと思います。
1. チェックリスト系
典型的なシチュエーションや考え方が提示され、その指示に基づいて考える方法です。
1-1. オズボーンのチェックリスト
もっとも有名なチェックリスト。

1-2. 機械安全
製造業のリスクアセスなんかで活躍するリスト。
以下のリンクのP45あたりにリストがあるよ。
https://www.mhlw.go.jp/bunya/roudoukijun/anzeneisei14/dl/100524-1.pdf
2. 考え方の類型系
ルールを決めて思考する方法です。
2-1. SIT
5つの発想でアイデアを出す方法です。
引き算:既存の製品から重要な要素を取り除いてみる。
掛け算:既存の2つの製品を組み合わせてみる。
分割:既存の1つの製品を複数に分割してそれぞれ製品化してみる。
一石二鳥:既存の製品に普通じゃない使い方をしてみる。
関数:既存の製品のパラメーターを変えてみる。
en.wikipedia.org
2-2. バリューグラフ
ものごとには「目的」と「手段」があると考え、あるアイデアの目的はなにか?手段は何か?目的の目的は何か?といった感じで掘り下げたり一般化したりする思考法です。
tamagoyaki1999.hatenablog.com
3. マトリクス系
表を作って網羅的に思考する
3-1. 強制発想
性能×利用場所など、適当に2つの軸を設定し掛け合わせる。

3-2. 2×2
既存の製品をたくさんリストアップする。
適当な2軸を決め4象限の表を作り、リストアップした既存製品をそれぞれの象限に入れてみる。
いろいろな軸でこれをやる。
製品の入らない象限が見つかればそこのアイデア出しをする。
例えば鉛筆で考えた例。

4. マーケティング系
マーケティング的なフレームに沿って発想する方法です。
4-1. カスタマージャーニーマップ
ユーザーの購買行動、感情の動き、製品・サービスとの接点等を整理した表を見ながら発想する方法です。

markezine.jp
4-2. AIDMA
ユーザーが購買に至るまで、「認知」、「興味」、「欲求」、「記憶」、「行動」のプロセスを経るよという話を念頭に発想する方法。

uxdaystokyo.com
4-3. PEST
「政治」、「経済」、「社会」、「技術」の観点で情報を整理するフレームワーク。

rihisa-strategies.work
4-4. 3C
「自社」、「顧客」、「競合」について整理しましょうというフレームワーク。

cyber-synapse.com
5. スタートアップ系
起業とか新規事業系のセミナーでよく出てくるやつ。
5-1. ビジネスモデルキャンバス
これ。

kigyotv.jp
5-2. バリュープロポジッションキャンバス
「提供価値」、「ペイン」、「ゲイン」について考えるフレームワーク。

www.profuture.co.jp
こんな感じで、発想法はいろいろありますし、日々亜流が生まれています。
どんな制約をおくとアイデアが出やすいかは時と場合によるのでいろいろ試してみましょう。
最近思うのは、ずば抜けたアイデアだけで大成功!!なんてことは絶対にないのに、こういうフレームワークに沿ってアイデア出しして小綺麗なパワポ作ると評価される風潮がある気がします。
コンサルならそれでいいですが、実務家やりたいならフレームワークマニアになって日々整理してるだけにならないよう注意が必要ですね。
ハロゲンフリーエポキシ合成のトレンド【化学企業の現場】
こんにちは。
今回はハロゲンフリーエポキシ合成手法をまとめてみました。
従来のエポキシ合成
一般的にエポキシは、ヒドロキシ化合物とエピクロルヒドリンを反応させることで合成されてます。
NaOH等の塩基で水酸基を金属ヒドロキシドにし、
ヒドロキシドがエピクロロヒドリンのエポキシ環の炭素にアタックしてクロロヒドリンが生成します。
このクロロヒドリンが分子内エーテル化でエポキシ化します。
さて、こんな反応機構なので副反応がたくさん起こります。
結果、塩素がいっぱいついた副生成物が発生するんですね。
低ハロゲン化の要求
この塩素ですが、とても嫌われています。
1990年代に、塩素を含む樹脂を燃やすとダイオキシンという毒ガスが発生すると話題になり、環境への配慮からハロゲンの規制が一気に進みました。
現在ハロゲンフリーは銅張積層板を対象として、JPCA-ES01:ハロゲンフリー銅張積層板試験方法で規格が決まっています。
塩素含有量0.09 wt% (900 ppm)以下
臭素含有量0.09 wt% (900 ppm)以下
塩素+臭素含有量0.15wt% (1500 ppm)以下
電材料分野においては、電子部品の微細等に伴う信頼性向上の要求から、さらに低いハロゲン濃度のエポキシ樹脂が求められ始めています。
ただ、上述したように、現在のエポキシ合成はその反応機構から、どうあがいても塩素を含む副生物が発生します。
一生懸命精製することで低塩素化する取り組みもありますが限界があるため、まったく新しい反応を用いて低ハロゲンエポキシを合成する研究がかなり増えてきています。
特許出願数の推移を見ると、2010年ごろから指数関数的に伸びており、大きなトレンドになりつつあります。

オレフィンを過酸化水素でエポキシ化するものが多いようです。[1]
その一部をご紹介します。
過酸化水素による電子不足オレフィンのエポキシ化
塩基と過酸化水素で電子不足なオレフィンをエポキシ化する方法です。

反応機構こんな感じです。[2]

pH = 10以上にするとせっかくできたエポキシ環が開環してしまうそうなので、反応中のpH制御はシビアに行う必要あり。
ポリアミノ酸等、様々な触媒が検討されています。[3], [4], [5]

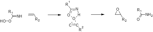
過酸化水素による電子リッチオレフィンのエポキシ化
系中でペルオキシカルボイミドを生成し、それによってオレフィンをエポキシ化する方法です。
ニトリル化合物と過酸化水素によるペルオキシカルボイミドの生成。[1]

ペルオキシカルボイミドがオレフィンと反応してエポキシが生成します。[6]

こちらもpH = 10以上でエポキシ環が開環します。
一例としてWO2018/083881の実施例を紹介しておきます。

ペンタエリスリトールをアセトニトリルとメタノールに溶かし、
50%KOH水溶液でpHを調整し、
過酸化水素水を18時間かけて滴下、
さらに30時間反応させることでエポキシ化しています。
こちらの材料ですかね。
https://www.sdk.co.jp/assets/files/information/2017/internepcon2017/05_A4.pdf
タングステン酸触媒によるエポキシ合成
タングステン酸に過酸化酸素を反応させ、過タングステン酸にし、オレフィンと反応させてエポキシを得る方法も知られています。
昭和電工の研究では、アリルエーテルとタングステン酸ナトリウム、リン酸、アミノメチルホスホン酸とを反応させることでエポキシを得ています。[8]
なんか反応性が妙に低い気もしますが、きっといいデータは隠しているのでしょう。大企業ではよくあることです。

タングステン酸の亜流みたいなものですが、大阪大学でノンハライト®という触媒が開発されています。[9][10]

フルオロアパタイト中にタングステン酸+アルキルアミン+リン酸系の触媒を分散させた固体反応場に、アリルエーテルと過酸化水素を染み込ませて放置しておくとエポキシができるというもの。
粉体反応場ということでちょっと特殊ですが、反応性はよさそうですね。
基質、触媒、過酸化水素のみを使用し、副生物は水のみということなので、今後さらに不純物量を減らしたエポキシが求められたときに効果的なエポキシ合成法になるかもしれません。

ノンハライト®は日本材料技研が取り扱っているようです。
https://www.jmtc.co.jp/products/NonHalite_JP.pdf
こんな感じでハロゲンフリーなエポキシ合成法がいろいろ研究されてきています。エピクロロヒドリン法が置き換わる日も近いかもしれません。
参考文献
1) 園田昇、堤繁「過酸化水素の有機合成への応用」、(http://seisan.server-shared.com/21/215-2.pdf)
2) Hiro, 「過酸による求核的エポキシ化 Nucleophilic Epoxidation with Peroxide」, (https://www.chem-station.com/odos/2009/07/-nuculeophilic-epoxidation-wit.html)
3) Giacomo Carrea et al., TRENDS in Biotechnology, vol. 23, 507-513 (2005).
4) Mauro Marigo et al., J. Am. Chem. Soc., 127, 19, 6964-6965 (2005).
5) David Diez et al., Current Organic Synthesis, 5, 186 (2008).
6) Hiro, 「プリリツェフ エポキシ化 Prilezhaev Epoxidation」, (https://www.chem-station.com/odos/2009/06/prilezhaev-prilezhaev-epoxidat.html).
7) WO2018/083881, 昭和電工株式会社.
8) 内田博「アリルエーテルを原料としたエポキシ樹脂」, 『ネットワークポリマー』35, 1 (2014).
9) Junko Ichihara et al., Green Chemistry, 5, 491-493 (2003).
10) 市原潤子, 「ワンランク上のハロゲンフリーエポキシ化合物の製造方法及び製造装置の開発」, (https://shingi.jst.go.jp/past_abst/abst/p/15/osaka-u/osaka-u11.pdf).
↓ブログランキング始めました。バナーをクリックしてもらうと順位上がるらしいです。よかったら応援お願いします!

化学ランキング
![]()
にほんブログ村
フッ化水素酸ってやっぱり危ないよね【化学企業の現場】
こんにちは。
フッ酸やべー!は化学やってる人にとっては常識ですが、どうやばいかは実は曖昧だったりします。
フッ酸のやばさをざっくりご紹介。
ヤバいとは?
ハザードをえげつなさと、その発生確率の掛け算がヤバさです。リスクとも言います。
えげつない事故も発生確率がほぼゼロなら大してヤバくないということになります。
多くの生物を絶滅させるような巨大隕石も数億年に一度しか降ってこないならリスクはほぼゼロなので誰も怖がらないですよね。
- 酸としてヤバい?
- 反応性がヤバい
- 浸透力がヤバい
- 総合力としてヤバい
酸としてヤバい?
フッ化水素のpKaは3.17です。pKaというのは酸の強さの指標で、小さいほど強い酸です。
塩酸:-8.0
硫酸:-3.0
誰もが知っている強酸の代表格、塩酸と硫酸はマイナスの値です。さすがです。
クエン酸:2.87
酢酸:4.76
フッ化水素の酸としての強さは実はクエン酸と酢酸の間くらいなんですね。希薄なフッ酸は酸としてはそこまで強烈なものではないです。
反応性がヤバい
フッ素イオンの反応性が高いです。
電気陰性度が高いので、他の原子の電子をとにかく引っ張ります。
この反応性は当然人体にも作用し、毒となるのです。
では、毒性をwikipediaで調べてみましょう。
ヒトの経口最小致死量は 1.5 g、あるいは体重あたり 20 mg/kg である。スプーン一杯の9%溶液の誤飲で死亡した事例もある[12]。吸引すると、灼熱感、咳、めまい、頭痛、息苦しさ、吐き気、息切れ、咽頭痛、嘔吐などの症状が現われる。また、目に入った場合は発赤、痛み、重度の熱傷を起こす。皮膚に接触すると、体内に容易に浸透する。フッ化水素は体内のカルシウムイオンと結合してフッ化カルシウムを生じさせる反応を起こすので、骨を侵す。濃度の薄いフッ化水素酸が付着すると、数時間後にうずくような痛みに襲われるが、これは生じたフッ化カルシウム結晶の刺激によるものである。また、浴びた量が多いと死に至る。これは血液中のカルシウムイオンがフッ化水素によって急速に消費されるために、血中カルシウム濃度が低下し、しばしば重篤な低カルシウム血症を引き起こすためである[13]。この場合、意識は明晰なまま、心室細動を起こし死亡する[14]。(出典:wikipedia)
体に取り込まれたら少なくとも痛い、そしてまぁまぁ簡単に死にます。
体内のカルシウムがやられます。
浸透力がヤバい
フッ化水素はサイズの小さい分子です。
ゴム手袋も皮膚も筋肉も簡単に通り抜けます。皮膚に付着するだけで危ないと言われる所以です。
保護具としては、ネオプレン手袋が推奨されることが多いようです。ニトリルだと不適切。
総合力ヤバい
上記のように、高い毒性を秘め、高い浸透性からその毒性が容易に発揮されます。
フッ化水素は皮膚を軽く通過し、血管に入れば血中のカルシウムと結合し低カルシウム血症を起こし、骨に入れば骨の中にフッ化カルシウム結晶を作り痛みを引き起こします。
よって、フッ化水素に接触した場合、ヤバいハザードが高い確率で発生するため、総合力としてかなりヤバい薬品です。
そして、実はそこそこ身近に存在しうる薬品で、リチウムイオン電池を分解すると発生します(電解質がフッ素系の場合)。
リチウムイオン電池が発火した!なんてニュースたまに見かけますが、目の前で発火したりガスが噴出していたら全力で逃げましょう。
余談ですが、私はリスクという言葉がすごく嫌いです。
リスクというとマイナス要素の合計みたいななんかネガティブなイメージありません?
本来プラス要素も含めたトータルの期待値を計算すべきだと思うんだけど。
なので、普段は極力リスクではなく期待値という言葉を使うようにしています。
↓ブログランキング始めました。バナーをクリックしてもらうと順位上がるらしいです。よかったら応援お願いします!

化学ランキング
![]()
にほんブログ村
pH, pKa, 濃度の計算方法【化学企業の現場】
こんにちは。
粉体に含まれる酸・塩基性不純物量をどうやって定量しようかってことで1日頭抱えてました。
で、結論、
- 蒸留水に粉体を入れ撹拌し、水溶性成分を抽出
- 抽出液を中和滴定 or pH測定 or 元素分析して酸・塩基成分量を定量化
- 酸塩基成分量/粉体量で濃度を求める
という方法に落ち着きました。
問題:1gの粉体に含まれるフッ化水素の量を求めなさい。
解法1:粉体抽出液のpHからフッ化水素量を求める
1gの粉体を10mLの水で洗浄することでフッ化水素を抽出し、その抽出液のpHからフッ化水素量を算出する方法を考えます。
水の溶解度積、pKa, pH, 電気的中性、酸・塩基成分量の5つの等式からなる連立方程式を解きます。

不明な量は、以下のように調べます。
pKa⇒ネットでデータ探す。フッ化水素のpKa = 3.17
pH⇒pH計やリトマス紙で実測する。今回はpH = 4 だったとしましょう。
これらを上記式に代入し、計算します。

以上より、抽出液中のフッ化水素濃度は約1.1 mol/Lであることが分かりました。
フッ化水素は分子量20なので、

ということで、抽出液のpHが4のとき、フッ化水素濃度は2.2 ppm程度だとわかりました。
すると、10mL (= 10g) の抽出液中には、2.2ppm × 10ml = 22ugのフッ化水素が溶けていることがわかります。
この22ugが粉体1gに含まれていたとすると、22ug/1gで、粉体に含まれるフッ化水素不純物は22ppmと見積もることができます。
↓受験勉強の時にお世話になった本。これ2,3周やっとけば京大くらいは合格圏入るよね。
ちなみに、この値どの程度確からしいのでしょうか?
pH計の誤差は例えば0.01pH±1digitの測定器だと、測定回路由来のもので±0.02程度あるそうです。
例えばpHが3.98と測定された場合、上記抽出液中のフッ化水素濃度は1.21mol/Lと計算され、約5%程度ずれるようです。
それ以外にpH電極の汚染等でもずれます。
解法2:粉体抽出液のフッ素イオン濃度からフッ化水素量を求める
粉体1gから3mlの水でフッ化水素を抽出し、抽出液をイオンクロマトで全フッ素濃度を測定する。
例えば10ppmと検出されれば10ppm × 3ml = 30ugが粉体1gに含まれていることになり、粉体中のフッ化水素濃度は30ppmと見積もることができる。
イオンクロマトの精度ってどんなもんなんでしょうね?
こんな感じで粉体中の酸・塩基不純物濃度の評価ができます。
抽出操作含めて誤差要因はたくさんあるので気を付けましょう。
↓ブログランキング始めました。バナーをクリックしてもらうと順位上がるらしいです。よかったら応援お願いします!

化学ランキング
![]()
にほんブログ村
青色申告できました~開業届その後の後の後~
用途特許の有効性【化学企業の現場】
こんにちは。
用途特許の有用性について、社内で侃々諤々の議論をして決着つかず弁理士にまで相談した案件。
用途特許では自社製品を守る効果は限定的。
- 用途特許ってなに?
- 直接侵害?
- 間接侵害?
- 共同正犯?
- 間接正犯?
- 最近議論した事例
用途特許ってなに?
ある製品の特許があったとして、その製品を使った製品の特許のことです。
「すごい歯車」とそのすごい歯車を使って作った「すごいロボット」があったとき、すごいロボットが用途特許にあたります。
歯車屋さんからみたとき、歯車が自社製品なのでロボットまでやる気はないんだけどロボット特許を出しておく、というのが所謂用途特許になります。
ロボット屋さんからみたら、すごいロボットを使った「すごい物流システム」みたいのが用途特許になります。
立場によって用途特許なのか製品特許なのか変わりますよという話です。
さて、問題は、
「すごい歯車」に特許性がなかったりして、仕方なくロボットに用途を限定して新規性・進歩性を主張するようなケース。
本当は歯車の特許が取れれば自社製品を直接守れるんだけど、それができなかったときの次善の策として、用途特許で戦いたい、というときどうしたらいいでしょう?
間接侵害?
モノ特許の場合、
例えば、「AとBから構成されるC」というクレームがあったとき、以下のケースで間接侵害としてCの部品であるAやBのサプライヤーを訴えられます。
①AやBがCにしか使えないものだった場合、
②AやBがCに使われるもので、かつ、課題解決に必須で、かつ、Cに使われることを知りながら作ったり販売したりした場合。
方法特許の場合、
例えば「Aという工程と、Bという工程と、Cという工程を含む製造方法」というクレームがあったとき、以下のケースで間接侵害として誰かを訴えられます。
①特許の方法を実行するしかできないモノを作った人、
②特許の方法を実行するためのモノで、かつ、課題解決に必須で、かつ、それが特許の方法に使われることを知りながら、そのモノを作ったり販売したりした人。
ん?何言ってるかわからんよ?
例えばこういうことです。
「スポンジに洗剤をつける工程と」
「スポンジで食器を擦る工程と」
「洗剤を流す工程と」を含む
「食器を洗う方法」
という特許をある清掃業者が取得したとします。
他社が、
「アームがスポンジに洗剤をつけ」
「アームがスポンジで食器を擦り」
「シャワーで食器をすすぐ」
という動作をスイッチひとつで自動で行う食器洗い機を開発して販売したとします。
この食器洗い機の動作は上記方法特許に抵触していることがわかります。
こんな装置を販売されたら清掃業者は商売あがったりなのでなんとかしたい。
しかし、この食器洗い機を使うのは食器洗い機のユーザーで、特許の方法を使用するのもユーザーということになります。
ユーザーは業として食器を洗わないので特許侵害の対象外です。
こんな状況で泣き寝入りせずに済むように間接侵害として特許の方法のみを実行するための装置を作った食器洗い機メーカーも訴えられるように制度設計されているのです。
上記のケースは、一人が特許を侵害しているケースです。
特許の基本は、一人がクレームに記載されたことを全部やったら、その人は特許侵害したことになる、というもの。
では複数人で分担して特許侵害しているケースはどう考えたらいいのでしょうか?
複数主体による特許侵害
一人で実施するのがNGなら会社またいで共同で実施すればOKじゃない!?
とか考える人も当然いるわけです。
そんなん許されないでしょ!と直感的には思いますが、一人で実施する場合に特許侵害になるのが基本です。
なので、複数人で分担した場合、基本的には特許侵害になりません。
でもそれなんかおかしくない!?納得いかない!!
と思うこともあります。レアなケースですが複数主体の特許侵害が認められることもあるそうです。
共同正犯?
複数人で共謀して特許侵害することです。
A工程とB工程とC工程を含むDの製造方法、という特許があったときに、
X社:「うちでAB工程やりましょう」
Y社:「ではうちはC工程やりますよ」
X社, Y社『これでこの特許の方法を実施できますな!』
っていう感じで共謀して実施するとNGになることがあります。
ただし、共謀したことを立証する必要があったりと訴訟のハードルは高い。
間接正犯?
共同正犯と同じく、複数人で特許侵害しているケースで、一部の人たちが意図せず共犯になっているパターンです。
ある主犯格が他のプレーヤーを道具として利用した結果、複数人で特許を実施したと認められる場合、主犯格を訴えることができます。
最近議論した事例
議題
モノ特許、モノの製法特許はなく、用途の製法特許のみが登録されている状況で、モノ売りビジネスをしたらどうなるか?
登録されている特許
原料を配合して成形材料を作る工程と(A工程)、
成形材料を成形する工程(B工程)と、
を含む成形方法。
やりたいビジネス
A工程により作られる成形材料を成形業者または成形品メーカーに売りたい。
成形材料売りビジネスにおいて、この特許で他社の牽制になるのか?
結論:あまりならない。
特許の基本的思想として、一人がクレーム全部実施したらアウト。
複数で分担して実施した場合は誰も特許を実施していないことになる。
なので、基本的には競合成形材料メーカーは特許侵害したことにならない。
出願時に成形材料ビジネスができるようなクレームにしてない奴が悪い。自業自得。
しかし、何事にも例外はあります。あくまで例外なので希なケースです。
競合成形材料メーカーを訴訟できる可能性のあるケース
【共同正犯】
成形材料メーカーと成形業者がたとえば以下のような打ち合わせをしてこの方法を実施した場合、共同正犯として成立する可能性がゼロではありません。
「こういういい特許があるんですが、うちだけで実施すると抵触してしまうんで一緒にやりませんか?」
「いいですね!工程を会社で分ければ特許回避できるわけですね!」
「そのとおりです!」
「ではうちで成形材料を作って御社に納めますので御社で成形してください。」
「承知しました!一緒にやっていきましょう!」
という状況で、
- このような協議がなされた証拠(議事録やメールですかね)
- 成形材料メーカーが実際に特許の方法で製造している証拠
- 成形業者が実際に特許の方法で成形している方法
これら証拠を揃えることができればもしかしたら特許侵害と判断される可能性があります。
【間接正犯】
成形材料メーカーが、
- 特許の存在を知っていて、
- 特許の方法を使用し、
- 積極的に成形業者を巻き込んで、
- 成形材料の素性(組成、製法等)を開示せずに、
- 成形材料を成形業者に納入し、
- 成形業を実行させた場合、
成形材料メーカーが特許侵害をしたと判断される可能性があります。
成形材料メーカーがウェブ販売している成形材料を成形業者が買って成形業を行う程度の関係性では成形材料メーカーの積極性は認められにくそうだなーと言う専門家の意見。
成形業者を訴えられるかもしれないケース
成形業者が社内で全部実施していたら当然アウトです。
では成形業者が成形材料メーカーを使って成形材料を委託生産し、成形業を行った場合、成形業者が特許侵害となる可能性があります。
この場合、成形業者に成形材料を自社から購入するよう警告できる可能性があります。
という感じで基本的には特許侵害にならないけど、例外がないこともないということでした。
用途の製法特許で守れるモノの範囲はすごく狭いから役に立たない、と判断しました。
↓ブログランキング始めました。バナーをクリックしてもらうと順位上がるらしいです。よかったら応援お願いします!

化学ランキング
![]()
にほんブログ村
思ったよりも効果があった働き方改革
こんにちは。
働き方改革、流行ってますね。
なかなか効果が実感できない職場もあるそうです。
弊社でも働き方改革なるものが実行されました。
内容は、
- 拘束時間を45分短縮(勤務時間30分、休憩時間15分)
- フレックス制導入
- PC持ち帰り原則禁止
- 深夜早朝勤務禁止(メールもNG)
- オフィスコンビニ導入
- 勤怠管理アプリ導入
など。
効果は、
- 8時前に出社し、16時くらいに帰る人が多発
- 満員電車のストレスが軽減された
- 出張時のアポイントに無駄が減った
- 仕事は変わらず回っているように思う
など、そこそこ効果が上がっているように感じます。
何が変わったかなーと思うと、平社員レベルで言えば、
- パワポ作らなくなった(時間ないから)
- 会議しなくなった(時間ないから)
- 立ち話で意思決定する(してもらう)ようになった(オフィスにいる時間短くなって上司に会う機会が少ない)
- 出張、外出時にアポイント詰め込んでちゃんと丸一日仕事になるようにスケジュール調整するようになった(勤務時間マイナスになるから)
- メール書くタイミングが朝や夕方に集中するようになった(メールにちびちび対応してるから仕事に集中できない説)
- 休憩しにコンビニ、自販機へ行く機会が減った(オフィスコンビニ最高!)
- PCの前でぼーっとする時間が減った(PC家に持ち帰らないから)
- 朝型になった(早く帰って子供との時間作る)
などなど。
という感じで勤務時間短くなった分、いらん仕事(主にパワポと会議)を削ったら案外行けてる。
働き方改革でとりあえず残業ゼロのお達しを出す、みたいなのはナンセンスだと思ってたけど、案外効果あることもあるんだなーと。
ただ、大企業でこれは成り立たないだろうなーとも思います。
理由は、下が働き方改革しても上が働き方改革しないから、ですね。
うちの働き方改革で効果あったのって、上司が意思決定方法変えたから、(というか自分が勝手に変えたことを許容してくれたから)なので。
これまで一応パワポで説明資料作って上司の時間押さえて説明して、許可もらってたのを、パワポなしで立ち話的に紙と鉛筆で説明して許可とるように勝手に変えたらそれでOKでいいっぽい感じになりました。
大企業だと、会議→パワポで説明→承認→議事録残す、このプロセス必須だと思うので。
偉い人に決定権が集中しすぎて、中身わかってないのに意思決定してる状況がたぶんおかしい。
だから、一回OKしてくれたことに、俺は聞いてない!と怒りだしたり、キレイなパワポ案件にOK出しがちだったりする。
そんなんなので部下としては、OKをもらったことを立証するために、
- 会議を開き証人を作り、
- 議事録を作り証拠文書を残す、
ということをやる。
中身よりもアホでもわかるキレイなパワポ作りに時間を使う。
なんならコンサルに高い金払ってパワポを作ってもらう。
という生産的でない作業に時間をかけてしまう。
残業0の号令を出してもサビ残してこれやる人が社内競争で勝つことがわかりきっているのでみんな仕事量が減らない。
要約すると、ボトルネック(今回の例で言えば意思決定プロセスの無駄)を解消しない働き方改革は無意味ですねってことですかね。
転職して6ヶ月経過【ベンチャーってこんなところ】
こんにちは。
大手企業からベンチャーに転職して半年立ちました。
相変わらず楽しく働いています。
自分の人生生きてる感がはんぱないです。
ただ、脳みその稼働率が100%越えてます。
だんだん大手で働いていたことを忘れてきています。
転職して3ヶ月くらいはいつでも大手に戻って転職時くらいの活躍はできるわー、とか思ってましたがもうどうやって働いていたかうろ覚えになってきてます。
パワポ作る時間はめっちゃ減りました。
根回し(ハンコリレー)はほぼ存在しません。なので会議もめっちゃ減りました。
リスクアセスは適切な感じです。
勉強時間は増えました。
脳みその稼働率は100%越えてる感じです。
勤務時間はめっちゃ減りました。残業ほぼ0です。大手のときは年間300時間残業だと残業少なめだなーという感じでしたが、今は残業0でもお腹一杯です。
早寝早起きになりました。9時に寝て3時に起きてます。これは子供の生活リズムのせいか。
少しでも売上立つとすごく嬉しいです。
PL見ると恐怖しかないです。
お金使ったのにいい結果が出なかったときの責任感はんぱないです。大手のときはいい意味で経費に対して無責任でしたからね。
自社だけじゃ何もできないので必然的にネットワーキングに全力です。
なんというか、とにかく、無駄な作業がなくなりました。
大手のときは半分くらい無駄だなーと思いながら言われた作業こなしてましたね。
一人一人が仕事しなくても会社としては莫大な価値を生み出す、素晴らしいビジネスモデル(既得権益)で動いているのが大手なんでしょう。
会社としては低パフォーマンスですが、個人はハイパフォーマンスで動いてます。
相変わらず、生活の安心感はないです。背水の陣です。
生活に困ったら大手に全力で逃げ込む所存です。
ホモジナイザーを安く調達するには?
こんにちは。
粉砕・解砕・分散などで使うホモジナイザーについて調べてて思ったことです。
ホモジナイザーって何かというと、筒の中で刃を高速回転させて、刃で砕いたり壁と刃ですりつぶしたりして対象物を細かくしていく装置です。
下のサイトがわかりやすいです。
nition.com
で、これがまたお高いわけです。自宅で趣味で購入するには厳しい。なんなら200Vだし。
今すぐ購入!なんてできる人はなかなかいないわけです。
あーでも欲しいなー。
オリジナルインクでプリントTシャツ作ったり、CNTを伊右衛門で分散したりとかやってみたいんだけどなー。
・・・
そういえば最近こんなの職場以外で見かけた気がするなー。
なんだっけー?
・・・
・・・
あ、これだ。

スムージー作るやつ。

回転刃の構造がどうなっているかというと、

これいけるんじゃない!?氷くらいは砕いてるしね。
ということでさっそくポチりました。
使用感はまた後日。
↓ブログランキング始めました。バナーをクリックしてもらうと順位上がるらしいです。よかったら応援お願いします!

化学ランキング
![]()
にほんブログ村
pythonで相互相関関数の計算【一時間で始めるデータ解析】
こんにちは。
今回はpythonで相互相関関数の計算をした話です。
これまでpythonのインストール、
tamagoyaki1999.hatenablog.com
エクセルデータの読み込みについて話しました。
numpyのインストール
コマンドプロンプトを開き
を実行
以下エディタで作業
numpy のインポート
相互相関関数の計算
配列AとBの相互相関関数を計算します。
計算結果は配列corrに入ります。
相互相関係数の最大値を求める
pythonでエクセルのデータを読み込む【一時間で始めるデータ解析】
こんにちは。
前回でpythonを使う準備が整いました。
tamagoyaki1999.hatenablog.com
今回はエクセルのシートからデータを読み込む方法です。
xlrd, xlwtをインストール
コマンドプロンプトを立ち上げる。
pip install xlrd
pip install xlwt
コマンドでモジュールを追加。
使い方
モジュールをインポート
import xlrd
import xlwt
ブックを読み込み
wb=xlrd.open_workbook(エクセルの保存場所のパス)
シートを読み込み
sheet=wb.sheet_by_name('Sheet1')
エクセルのデータを抽出
val=sheet.cell_value(row, col)
※rowには行番号、colには列番号を入力
エクセルのデータを配列に格納
A.append(sheet(row, col))
※rowには行番号、colには列番号を入力
pythonのインストール【1時間で始めるデータ解析】
こんにちは。
センサデータから物体識別できるか当たりをつけるために相互相関関数を計算しようとふと思い立ったので、pythonインストールしました。
※Windiwsです。
仮想環境の構築
動作環境ぐちゃぐちゃにする前に仮想環境を作る。
今回はvirtualenvを使う。
virtualenvインストール
pip install virtualenv
コマンドでvirtualenvをインストール
※pipのバージョンが古いと指摘されることもあるが、素直に表示されるコマンドをコピペしてpipの更新
仮想環境構築
virtualenv test
コマンドでtestという名前の仮想環境構築
※testのところは任意の名前を入力。

